Difficoltà: Stellina.gif (1428 byte)Stellina.gif (1428 byte)Stellina.gif (1428 byte)Stellina.gif (1428 byte)Stellina_OFF.gif (1462 byte)
Questo gioco l'ho visto quest'anno (2002) alla festa di Legambiente a Rispescia nel settore dedicato ai bambini.
In realtà non ho idea di come si chiama e nemmeno da dove provenga o chi ne sia l'inventore; se qualcuno ha informazioni su questo gioco me lo faccia sapere. In attesa dell'eventuale nome originale lo chiameremo Lanciabiglie.
Mi è sembrato subito un giochino fantastico poiché riusciva a coinvolgere da un minimo di 2 e fino a 6 giocatori di età compresa tra i 3 e i 93 anni!
Il gioco si compone di un piano che funge da campo da gioco dotato di due porte. Sono porte un po' particolari poiché si tratta di due barre trasversali con un taglio nella zona centrale inferiore; la palla da ping-pong può passare solo nella zona centrale mentre le biglie possono passare dappertutto.

   

Il gioco consiste nel penetrare la porta avversaria con la pallina da ping-pong; per farlo si hanno a disposizione un certo numero di biglie che vengono lanciate da appositi scivoli; questi scivoli possono ruotare sull'asse verticale intorno ad un perno per permettere di prendere la mira per colpire la palla da ping pong.

  

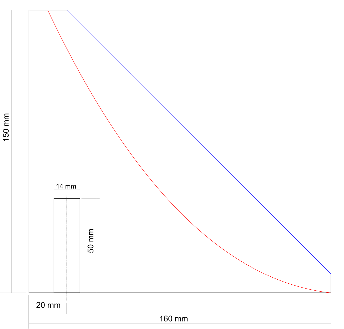
Gli scivoli (6 in tutto ed identici tra loro) sono realizzati assemblando insieme tre pezzi; quello centrale (multistrato da 20 mm) sagomato secondo la curva rossa (ho usato il seghetto alternativo) e due pezzi di compensato laterale (4 mm) sagomato secondo la linea blu. Per gli appassionati di cose tecniche (o magari di parole crociate) posso dire che la curva rossa ideale dovrebbe essere una brachistocrona anche se quella che ho realizzato è solo una buona approssimazione.
  Qui di seguito si possono vedere alcuni particolari degli scivoli realizzati.
        

Il cartoncino verde serve per diminuire l'attrito ed aumentare al contempo la resistenza poiché in quel punto lo scivolo è molto sottile.

     
  Il piano di gioco è costituito da un compensato di 6mm che ho provveduto a rinforzare con delle nervature trasversali. Il piano di gioco è contornato da listelli quadrati di dimensione pari a 32x32mm. Le quote di dettaglio si possono ricavare dal disegno seguente anche se ovviamente non sono vincolanti.
 
  Per quanto riguarda le regole di gioco ce n'è una essenziale; non si può toccare la palla da pin-pong con le mani. Vince chi fa più gol. Il numero delle biglie da utilizzare non è critico ma ho sperimentato che il numero ottimale varia tra circa 25 e 40 in funzione del numero dei giocatori.
  Qui di seguito una partita a 6 (o forse giocavano in 4 con due elementi di disturbo?)
 
__________________
Nota: Il gioco può essere giocato anche con alcuni bambini di 2 anni ma in questo caso è d'obbligo la supervisione di un adulto a causa della presenza delle biglie di piccole dimensioni.
21 aprile 2003